Inelastic neutron and x-ray scattering, DFT

Density functional theory methods are the ideal tool to complete scattering experiments. They help to analyze, interpret, and understand data. Realistic calculations can also predict new phenomena and stimulate experimental verification. Previous studies ranged from various fluoride systems, which are ionic conductors and wide band gap materials, and find interest as a material for industrial application.

Standard electronic and lattice dynamical problems as well as optical properties under strain and pressure and their temperature dependence were explored. But also trends in systems with low dimensions or geometrical confinement were investigated. The observed and calculated dynamical properties are sensitive to the dimension of the problem and imply changes of measurable parameters like the specific heat or thermal conductivity.

The recent research focuses on the dynamics of the magnetocaloric compound system Mn5-xFexSi3. The magnetocaloric effect (MCE) is the temperature or entropy change of a material subject to a variation of magnetic field and is the basic principle of magnetic refrigeration. This technique is considered as promising for a more environmentally friendly and efficient use of energy. To get insight into the microscopic mechanisms of the MCE inelastic neutron scattering single crystal studies under different temperatures and magnetic fields have been employed using polarized and unpolarized neutron beams.

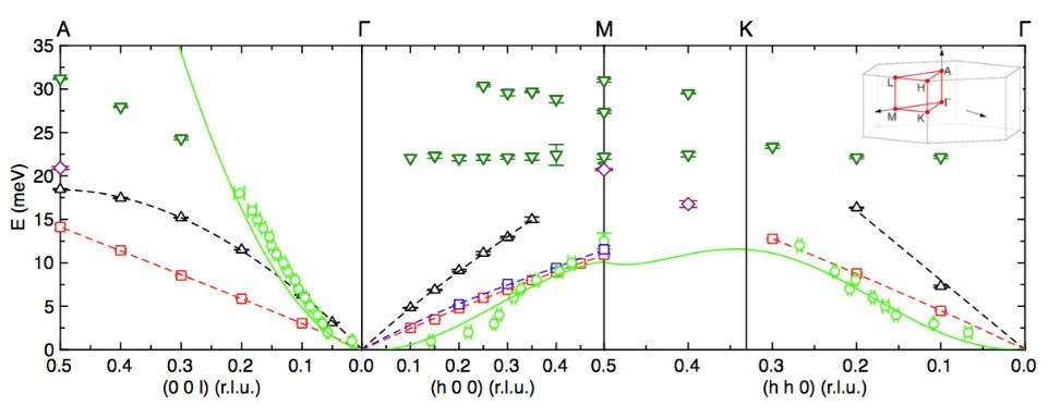
Experimental  phonon and magnon dispersion curves for MnFe4Si3 along the hexagonal  high symmetry directions. Upward triangles, squares, downward triangles  and diamonds correspond, respectively, to LA, TA, LO and TO phonons  measured with IXS at T = 90 K. Circles correspond to magnons measured  with INS. The solid line represents the spin model described by a  Heisenberg-type Hamiltonian.
Experimental phonon and magnon dispersion curves for MnFe4Si3 along the hexagonal high symmetry directions. Upward triangles, squares, downward triangles and diamonds correspond, respectively, to LA, TA, LO and TO phonons measured with IXS at T = 90 K. Circles correspond to magnons measured with INS. The solid line represents the spin model described by a Heisenberg-type Hamiltonian.
Forschungszentrum Jülich
Color-coded  intensity plot of inelastic neutron scattering data collected at an  energy E = 5mev as a function of Q = (Qh, 2, 0) and temperature through  the two antiferromagnetic phases AF1 and AF2 and the paramagnetic state  (PM).
Color-coded intensity plot of inelastic neutron scattering data collected at an energy E = 5mev as a function of Q = (Qh, 2, 0) and temperature through the two antiferromagnetic phases AF1 and AF2 and the paramagnetic state (PM).
Forschungszentrum Jülich

References:

  1. J. dos Santos, N. Biniskos, S. Raymond, K. Schmalzl, M. dos Santos Dias, P. Steffens, S. Blügel, S. Lounis, and Th. Brückel, Spin waves in the collinear antiferromagnetic phase of Mn5Si3, Phys. Rev. B 103, 024407  (2021)
  2. S. Raymond, N. Biniskos, K. Schmalzl, J. Persson, and Th. Brückel, Total interference between nuclear and magnetovibrational one-phonon scattering cross sections, J. Phys.: Conf. Series 1316, 012018 (2019)

  3. N. Biniskos, K. Schmalzl, S. Raymond, S. Petit, P. Steffens, J. Persson, and Th. Brückel, Spin Fluctuations Drive the Inverse Magnetocaloric Effect in Mn5Si3, Phys. Rev. Lett 120, 257205 (2018)
  4. N. Biniskos, S. Raymond, K. Schmalzl, A. Schneidewind, J. voigt, R. Georgii, P. Hering, J. Persson, K. Friese, and Th. Brückel, Spin dynamics of the magnetocaloric compound MnFe4Si3, Phys. Rev. B 96, 104407 (2017)

Contact:

Dr. Karin Schmalzl

JCNS-2: Scientific Staff seconded to Institut Laue Langevin ILL, Grenoble/France “First Instrument Scientist IN12”

  • Jülich Centre for Neutron Science (JCNS)
  • Quantum Materials and Collective Phenomena (JCNS-2)
Building 04.8 /
Room R 340
+33/47620-7348
E-Mail
Last Modified: 22.07.2025